蓝颜gtv

浅析环境因素对激光干涉仪测量精度的影响(上)

2017-12-26

---------------------- 关于环境因素 ----------------------

影响激光干涉仪测量精度的环境因素主要指:

1、    当前测量环境下的空气温度湿度大气压力,影响在空气中传播的激光波长。

2、    被测工件温度,影响被测对象的热膨胀量。本文不做分析,将在下篇细述。

-------------------- 关于激光干涉仪 --------------------

  激光干涉仪有单频激光干涉仪和双频激光干涉仪,二者都是采用外差干涉原理,而区别在于计算公式,如下所示:

单频激光干涉仪,线性测量的计算公式:L=Nλ/2,其中L为位移,N为干涉条纹数目,λ为激光波长。

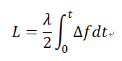
双频激光干涉仪,线性测量的计算公式:

其中L为位移,t为时间,△f为由于运动而引起的频移,λ为激光波长。

------------------ 激光波长影响分析 ------------------

结合激光干涉仪两个线性测量的公式同时进行分析:

1、  单频激光干涉仪,若移动半个激光波长,光电探测器将采集到明暗变化1次,干涉条纹数目则N+1,该项几乎不会引入误差。而双频激光干涉仪,△f在时间上积分的结果相当于N,同样也几乎不会引入误差。

2、  两个公式都含有激光波长λ,而λ的精度直接取决于波长的稳定度,通常要高于线性测量精度指标一个量级,即≤0.05ppm。所以在标准空气参数的环境条件下,理论上L的线性测量精度也应该为0.05ppm,然而通过Edlen公式可以获知激光波长λ会受到环境因素的影响,参见表1,所以实际应用中L的线性测量精度标为0.5ppm不无道理。

表1  激光波长稳定度和环境因素对波长的影响

影响因素

精度指标

引入误差

(影响线性测量精度)

激光波长稳定度

0.05ppm

0.05ppm

空气温度

±0.1℃

0.1ppm

空气湿度

±5%RH

0.1ppm

大气压力

±0.1kPa

0.28ppm

 

综上,对环境因素进行综合考量,最坏的情况下将会给线性测量精度引入0.48ppm的误差。

所以,暂且可以得出下面的结论:

1、 激光干涉仪线性测量精度主要取决于激光波长稳定度和环境因素;

2、 单频激光干涉仪和双频激光干涉仪在线性测量精度上并无本质区别;

3、 若不考虑被测对象因素的影响,激光干涉仪在线性测量过程中,误差主要来源是由环境因素导致的。

------------------ EC20环境补偿单元 ------------------

  中图蓝颜gtv SJ6000激光干涉仪配备的EC20环境补偿单元,由环境补偿主机(内置湿度传感器和气压传感器)、空气温度传感器和3个材料温度传感器组成,可实现对空气温度、湿度、大气压力和材料温度的实时高精度检测。

  EC20环境补偿单元在出厂前,会依照相关计量标准对各环境参量进行精确校准,通常情况下建议24个月校准一次。

  在使用EC20环境补偿单元过程中,在不影响测量光路和被测物体运动的前提下,建议将环境补偿主机和空气温度探头就近于测量光路中间处放置。至于材料温度探头该如何布置或应用,则需分不同的测量场合与不同的被测对象,小编将会作为激光干涉仪的测量关键点进行细述,欲知详情,关注“中图蓝颜gtv ”微信公众号,且听下回分解 。 

上一篇:激光干涉仪测量三坐标测量机的动态特性原理
下一篇:十年,感恩有你--SJ2009便携式指示表检定仪
蓝颜gtv-蓝颜GTV平台-一同看GTV彩虹-GTV一同看gtv蓝颜安装轻量版 蓝颜gtv-蓝颜GTV平台-一同看GTV彩虹-GTV一同看gtv蓝颜安装轻量版 蓝颜gtv-蓝颜GTV平台-一同看GTV彩虹-GTV一同看gtv蓝颜安装轻量版 蓝颜gtv-蓝颜GTV平台-一同看GTV彩虹-GTV一同看gtv蓝颜安装轻量版 蓝颜gtv-蓝颜GTV平台-一同看GTV彩虹-GTV一同看gtv蓝颜安装轻量版